[LeetCode] Maximum Depth of Binary Tree
Given the root of a binary tree, return its maximum depth.
A binary tree's maximum depth is the number of nodes along the longest path from the root node down to the farthest leaf node.
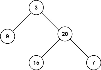
Example 1:

Input: root = [3,9,20,null,null,15,7]
Output: 3
Example 2:
Input: root = [1,null,2]
Output: 2
Constraints:
The number of nodes in the tree is in the range [0, 104].
-100 <= Node.val <= 100
이진 트리의 깊이? 길이를 구하는 문제.
depth가 2 = 주어진 배열의 길이가 1 + 2
depth가 3 = 주어진 배열의 길이가 1 + 2 + 2*2 + 2*2*2...
결국 depth만큼 1 + 2 + 2*2 + 2*2*2 + 2*...가 되는거니까, 전체 배열의 길이를 구하면 그냥 규칙상 depth를 알 수 있다.
근데 모든 노드가 끝까지 차 있어야 가능하기도 하고, 애초에 그런 식으로 풀라고 만든 문제가 아니다.
/**
* Definition for a binary tree node.
* function TreeNode(val, left, right) {
* this.val = (val===undefined ? 0 : val)
* this.left = (left===undefined ? null : left)
* this.right = (right===undefined ? null : right)
* }
*/
/**
* @param {TreeNode} root
* @return {number}
*/
var maxDepth = function(root) {
if(!root){
return 0;
}
let depth = 0;
let res = 1;
const check = (val, text) => {
if(val.right && val.left){
depth--;
}
if(val.right){
depth++;
check(val.right);
}
if(val.left){
depth++;
check(val.left);
}
}
check(root);
let num = 1;
while(depth > 0){
depth -= num;
num = num * 2;
res ++;
}
return res;
};
그래도 해봄ㅋㅋ
왼쪽 또는 오른쪽이 있는 경우 깊이를 +1 하고, 둘 다 있으면 -1 해 준다.
결국 전체 배열 길이를 구하고 규칙으로 구해내는 거나 다름이 없음.
그냥 이게 될까? 확인해 보고 싶었는데 아니나 다를까 안된다.
계속 한 쪽으로만 노드가 있는 편향트리의 경우를 커버하지 못했음.

이런 거.
var maxDepth = function(root) {
if(!root){
return 0;
}
let res = 1;
const check = (val, depth) => {
const left = val.left;
const right = val.right;
if (!val.left && !val.right) {
res = Math.max(res, depth);
}
if(left){
check(left, depth + 1);
}
if(right){
check(right, depth + 1);
}
}
check(root, res)
return res;
};
재귀함수를 아까보단 좀 더 활용해서 푼 게 이것...
한 쪽 끝까지 탐색하는 걸 반복한 다음 가장 큰 걸 리턴하는 방식이다.
이런 걸 DFS(Depth First Search, 깊이 우선 탐색)이라고 한다는군.
트리나 그래프를 탐색하는 기법 중에 하나로,
시작 노드에서 자식 노드를 순서대로 탐색하되 깊이 우선으로 진행하는 알고리즘이다.
일반적으로 스택을 이용한 반복문이나 재귀함수로 구현할 수 있다.
왔다갔다 하지 않고, 각 분기별로 끝까지, 제일 깊은 곳까지 탐색한다는 특징이 있다.
더 자세한 내용은 여기서 > https://olrlobt.tistory.com/35
어렵다...
1등 코드는 이렇게 돼 있음. (주석 추가)
var maxDepth = function(root) {
if (!root) {
return 0; // 트리가 비어있으면 깊이는 0임
}
// 왼쪽과 오른쪽 트리의 최대 깊이를 구하고 더 큰 값을 고름
const leftDepth = maxDepth(root.left);
const rightDepth = maxDepth(root.right);
// 두 트리 중 더 큰 깊이값에 1을 더하고 리턴
return Math.max(leftDepth, rightDepth) + 1;
};
깔끔하구만...

ㄹㅇㅋㅋ 재귀함수 어떻게 쓰는 건지 알고 있다고 생각했는데 이게 또 이렇게 되네...
'CodingTest' 카테고리의 다른 글
| [LeetCode] Leaf-Similar Trees (0) | 2025.05.14 |
|---|---|
| [LeetCode] Dota2 Senate (0) | 2025.05.12 |
| [LeetCode] Delete the Middle Node of a Linked List (0) | 2025.05.08 |




